东北林业大学打破导热与粘弹性的“死结”!用木质素打造下一代热界面材料

来源 | Advanced Composites and Hybrid Materials
链接 | https://doi.org/10.1007/s42114-025-01589-3
01
背景介绍
随着5G技术及先进高功率电子设备的快速发展,对具备优异热传导性能的热界面材料(TIMs)的需求日益迫切,以实现高效散热与可靠的热管理。然而,现有热界面材料在追求高热导率的同时难以兼顾优良的粘弹性,二者之间存在固有矛盾,导致其在实际应用中的界面热传递效率仍不理想。
02
成果掠影

近日,东北林业大学王成毓、杨海月团队创新性地构建了一种基于木质素超分子相互作用的仿生热界面材料(AL-VTCP)。当氮化硼纳米片填充量为40 wt%时,该材料导热率可达3.278 W/m·K,接触热阻仅为20 mm²·K/W。与商用热界面材料相比,AL-VTCP可使CPU在工作温度上额外降低约13.1 °C,同时表现出优异的粘弹性和界面贴合能力。研究阐明了木质素通过超分子作用引导导热网络形成与界面优化的机理,不仅增强了各组分的界面结合,有效抑制了填料团聚,更引导构建了连续、高效的导热网络,从而协同提升了材料的导热性能与界面贴合能力。该工作为突破热管理材料中“高导热”与“粘弹性”难以共存的瓶颈提供了新的仿生设计策略,并为面向5G等高功率电子设备的先进热界面材料开发提供了切实可行的材料解决方案。研究成果以“Biomimetic, viscoelastic and interface adaptive thermally conductive composites via lignin-induced supramolecular self-assembly for advanced thermal management”为题发表在《Advanced Composites and Hybrid Materials》期刊。
03
图文导读

图1:AL-VTCP复合材料的制备。(a)天然木材结构和组成的示意图。(b)相变乳液(PCE)的制备和结构表征。(i)基于超声乳化法制备PCE,具有(ii)大规模生产能力。(iii)PCE的光学显微镜照片和(iV)油水界面示意图。(c)BNNS示意图。(d)VTCP和AL-VTCP在压力下的粘弹行为。(e)AL诱导纳米结构以及AL-VTCP复合材料非共价键相互作用的示意图。

图2:AL-VTCP复合材料的结构表征。(a)冷冻干燥相变乳液的SEM图像。(b)冷冻干燥AL-VTCP复合材料的SEM图像。(c)具有木质素诱导纳米尺度超分子自组装的AL-VTCP的高倍SEM图像。(d)BNNS、相变乳液、AL、VTCP和AL-VTCP的FTIR光谱。(e)VTCP和AL-VTCP的FTIR光谱。(f)VTCP和AL-VTCP的XRD图谱。(g)描绘CNF、BNNS和AL超分子相互作用的分子动力学(MD)模拟。(h)CNF和AL之间氢键的总数以及AL和BNNS的分子吸附能计算。

图3:AL-VTCP复合材料的力学性能。(a)不同AL含量的AL-VTCP的剪切速率扫描测试。(b)不同AL含量的AL-VTCP的频率扫描测试。(c)AL-VTCP的温度依赖性测试。(d)展示AL-VTCP复合材料与两块铜板的界面适应性的光学显微镜图像。(e)不同AL含量的AL-VTCP的压缩应力-应变曲线。(f)AL-VTCP复合TIM的压缩模量和接触热阻与文献或市场中报道的TIMs的比较。

图4:AL-VTCP复合材料的导热系数。(a)VTCP和AL-VTCP的导热系数(k)随填料含量的变化。(b)在固定环境条件下,VTCP和AL-VTCP内部温度分布的COMSOL模拟。(c)在固定环境条件下,VTCP和AL-VTCP内部热通量分布的COMSOL模拟。(d)AL-VTCP的高/低温循环稳定性。(e)10个加热循环期间的DSC曲线。(f)VTCP和AL-VTCP的表面温度随加热时间的变化。插图显示了测试系统用于面内热性能的示意图。(g)VTCP和AL-VTCP随加热时间增加的红外图像。

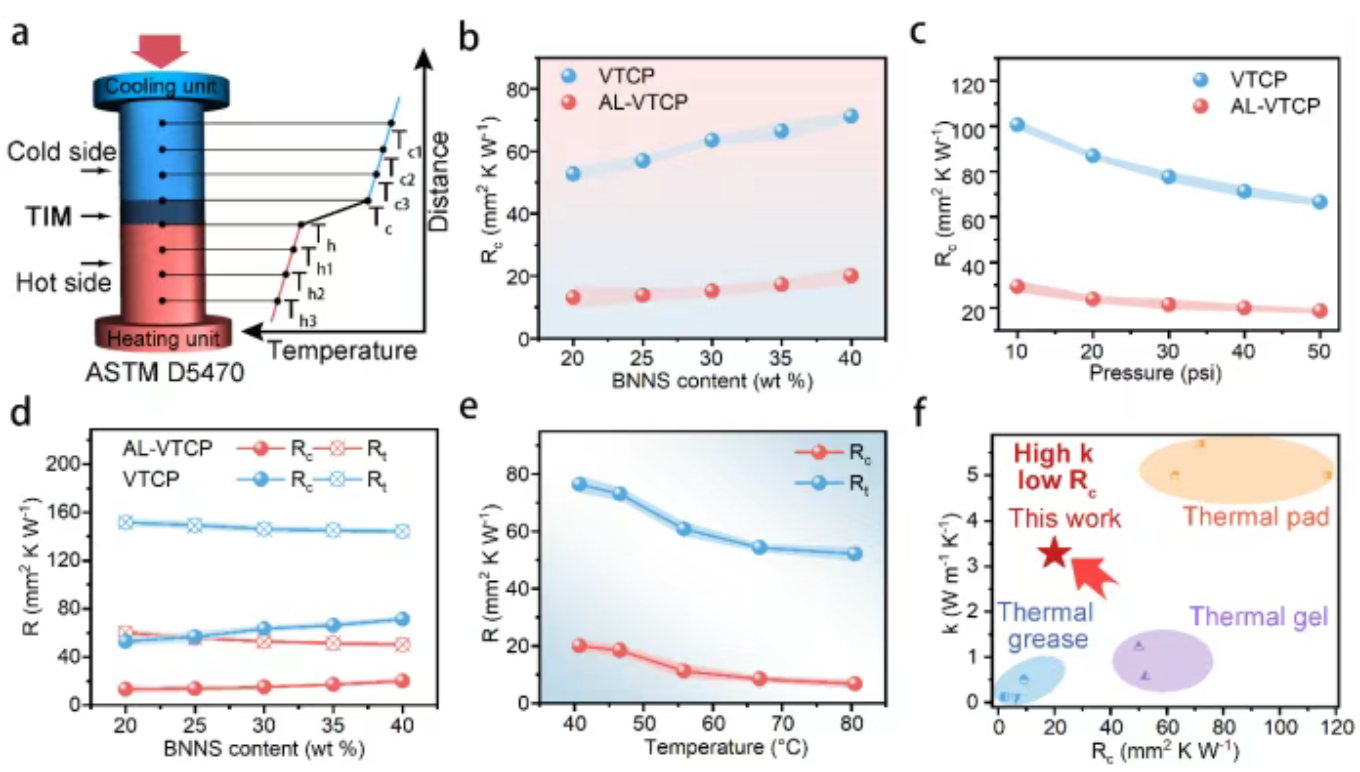
图5:AL-VTCP复合材料的接触热阻(Rc)。(a)基于ASTM D5470方法测量TIM性能的原理示意图。(b)VTCP和AL-VTCP的Rc随填料含量的变化。(c)不同压力下VTCP和AL-VTCP复合材料的Rc。(d)AL-VTCP的总热阻(Rt)和Rc。(e)AL-VTCP的温度相关Rt和Rc。(f)AL-VTCP复合材料的k和Rc与先前文献中代表性TIMs的比较。

图6:AL-VTCP复合材料的散热性能。(a)TIM热性能测试原理示意图。(b)在30 W cm⁻²的加热功率下,Theater随加热时间的变化。(c)稳态Theater随施加功率密度的演变。(d)所施加TIM的模拟keff与Theater之间的函数关系。(e)AL-VTCP和商用TIM的模拟温度分布。(f)在加热-冷却冲击测试下,AL-VTCP作为TIM的热循环稳定性。

图7:AL-VTCP复合材料的热管理性能。(a)基于台式计算机系统比较VTCP、AL-VTCP和先进导热垫片冷却效率的实验装置和示意图配置。(b)当在芯片和散热器之间采用不同的TIMs时,可以获得散热器的热成像图,说明热分布。(c)CPU核心温度随运行时间的演变。(d)冷却系统中TIMs的热循环稳定性。

图8:AL-VTCP复合材料的环境影响评估。(a–f)PDMS/石墨(垫片)、PDMS/LM-Al2O3(硅脂)、VTCP与AL-VTCP在各项环境影响指标上的比较,包括全球变暖潜能值、酸化潜能值、酸雨形成潜能值、富营养化潜能值、化石燃料消耗潜能值及生态毒性潜能值。(g)上述材料的生命周期评估库存敏感性分析。

