• 中文版
  • English
首页 新闻资讯 浙大微通道新突破!压降大降 50%,1987W 热量秒散

浙大微通道新突破!压降大降 50%,1987W 热量秒散

时间:2025年11月25日

来源 | Energy

链接 | https://doi.org/10.1016/j.energy.2025.139269




01

背景介绍


随着微处理器、功率电子(如 GPU、SiC MOSFET)对性能需求提升,芯片晶体管密度和面积不断增加,热设计功率(TDP)突破 1000 W,传统散热方案存在三大局限:① 适配低功率(多 < 300 W)、小尺寸芯片(多 < 100 mm²);② 压降高、性能系数(COP)低;③ 仅关注稳态散热,忽视实际芯片的瞬态功率波动(如 Hz-GHz 级频率、峰值功率超 TDP 200%)。需要有效的散热来保证芯片的性能和可靠性。



02

成果掠影


2(1).png


近日,浙江大学吴赞团队设计了一种基于荷叶叶脉流体路径的生物启发式歧管环形微通道(MRC)散热结构,采用铜材经拓扑优化加工并通过银烧结组装;该结构在总输入功率 718 W 时,性能系数(COP)超1.8×10⁵,稳态下实现1987 W(对应热流密度 633 W/cm²) 的散热能力,压降仅 25.22 kPa,热阻低至0.0878 (cm²·K)/W;与传统平行微通道相比,其压降降低50.72% 、温度均匀性提升43.74% ,同时瞬态测试发现温度分布与热时间常数密切相关,占空比和频率显著影响瞬态温度演化,为高功率芯片的稳态与瞬态热管理提供了高效解决方案。研究成果“Highly efficient bio-inspired manifold microchannel cooling for steady-state and transient thermal management of high-power chips”为题发表在《Energy》。




03

图文导读


3.png

图1. MRC结构图。(a)歧管环形通道散热器的3D视图(其中蓝色区域和红色区域分别代表入口区域和出口区域);(b)流动结构的局部放大图;(c)环形微通道的流入和流出的详细描述;(d)荷叶脉中的水流分布


4.png

图2.(a)网格依赖性验证和(b)MRC示意图。

5.png

图3.(a)加热源的制作过程。步骤1:LPCVD SiO₂,步骤2:光刻、溅射、剥离Ti/Au,步骤3:溅射Ag膜;(b)加热源的上、后视图

6.png

图4.使用银烧结的TTV的制备过程。(a)TTV的组分,(b)使用银烧结的TTV的制备过程


7.png

图5.歧管环形通道的初始结构和优化结构。


8.png

图6. TTV实验装置和测试设备示意图。(a)实验系统回路图(b)实验装置和热测试飞行器


9.png

图7.歧管微通道散热器的热阻网络。


10.png

图8.实验和模拟结果的比较。(a)平均温度;(b)压降;(c)最高流体温度


11.png

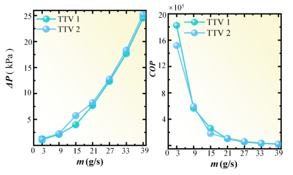
图9.生物启发的TTV 1和TTV 2的热性能。


12.png

图10. TTV 2红外摄像机图像中不同质量流率和热通量下的芯片温度分布。


13.png

图11.生物激发TTV 1和TTV 2的热阻和传热系数。


14.png

图12.歧管环形微通道散热器的水力性能。


15.png

图13.传统结构和仿生结构的制造难度。


16.png

图14. 39 g/s时传统和仿生设计的质量流量分布和压降。(a)仿生歧管层;(b)每个微通道中的质量流量;(c)压降和COP


17.png

图15.在39 g/s时传统微通道和生物激励微通道的速度分布。(a)x-y平面速度分布;(b)y-z平面速度分布


18.png

图16.在39 g/s和600 W/cm²下传统微通道和仿生微通道的温度分布。(a)加热表面温度分布;(b)最大温度和温差;(c)热边界层的发展。


19.png

图17.瞬态测试信号和热时间常数。(a)测试信号;(b)热时间常数


20.png

图18.在33 g/s质量流率下瞬态热通量下的热性能。


21.png

(a) 0.5 Hz


22.png

(b) 500 Hz

图19.高速红外相机记录的33 g/s和400 W/cm²条件下瞬态温度随时间的演变。(a)0.5 Hz,(B)500 Hz


23.png

图20.瞬态温度演变。(a)占空比(0.5 Hz,33 g/s和200 W/cm²),(b)频率(50%占空比,33 g/s和200 W/cm²),(c)质量流量(50%占空比,0.5 Hz和200 W/cm²)


24.png

图21.对其他散热器结构的代表性实验数据进行基准测试。(a)散热器RHS的热阻与压降ΔP的关系;(b)当温升固定在60 K时,冷却COP与加热功率的关系


25.png