欧阳明高团队电池热管理新进展!浸没冷却剂延长热失控蔓延 5-8 倍

来源 | Process Safety and Environmental Protection
链接 | https://doi.org/10.1016/j.psep.2025.108333
01
背景介绍
锂离子电池(LIB)在 EV/ESS 中应用广泛,但热失控(TR)及蔓延(TRP)存在极端高温(>800℃)、易燃气体释放、快速失效(模组 < 300s 完全失控)等风险,传统空冷热容量低、液冷散热不均,难以应对滥用场景下的瞬时释热。热失控及其传播仍然是锂离子电池中的关键安全挑战,因为传统的空气/液体冷却在滥用条件下无法足够快地散热以阻止失控的链式反应。浸没冷却具有上级传热和储热能力,为增强热管理提供了有前途的替代方案。然而,它抑制热失控传播的机制--跨越温度动力学、能量分布和微观结构失效--仍然知之甚少。
02
成果掠影

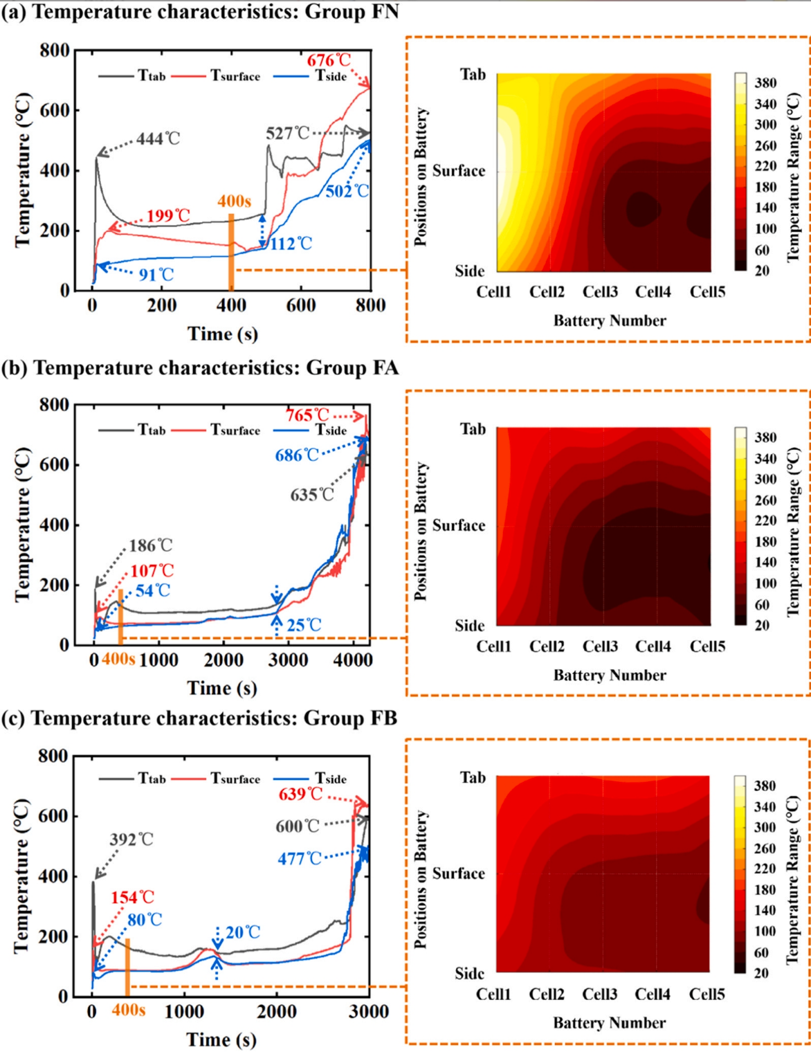
近日,上海理工大学沈凯、来鑫和清华大学冯旭宁等团队针对锂离子电池热失控蔓延(TRP)难题,以116 Ah NMC 棱柱电池模组为对象,通过钉刺触发实验,对比合成酯(FA)、烃类(FB)两种浸没冷却剂与空冷(FN)的抑制效果,发现浸没冷却可将 TRP 间隔延长5.65-7.97 倍(FA 达 3929 s、FB 达 2786 s,FN 仅 493 s),核心归因于外部燃烧 - 内部冷却(ECIC)机制,且冷却剂以显热吸收为主(潜热占比 25-27%),能显著降低峰值温度、缩小热梯度并减轻电极降解,为电动汽车(EV)和储能系统(ESS)的热安全设计提供了关键数据与理论支撑。研究成果以“Experimental study on immersion cooling for delaying thermal runaway propagation in lithium‑ion battery modules”为题发表在《Process Safety and Environmental Protection》期刊。
03
图文导读

图1.用于浸没冷却电池模块钉入试验的试验系统:(a)热电偶位置;(b)模块分解图;(c)实验装置示意图。

图2.单电池EV+ARC热失控测试装置:(a)ARC测试设备照片;(b)热电偶位置示意图。

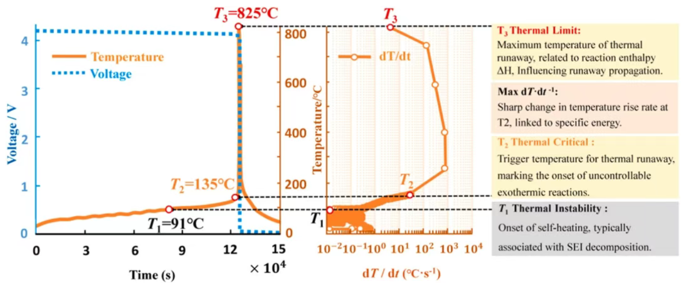
图3.单电池热失控:温度和电压与时间的关系(左)以及温度与温升率dT/dt的关系(右,对数水平刻度)。

图4.不同冷却条件下电池模块的热失控燃烧阶段。

图5.各组电池模块的TRP曲线和红外图像:(a)无浸液(FN)组的TRP曲线;(b)有FA浸液组的TRP曲线;(c)有FB浸液组的TRP曲线;(d)TR启动后0、200、400、600和800 s时FN、FA和FB的红外快照。

图6. ECIC状态示意图(酒精灯模拟)。

图7.三组电池模块的热失控温度特性:(a)FN组(无浸没冷却剂);(b)FA组(合成酯冷却剂);(c)FB组(烃冷却剂)。

图8.热失控后电极材料的微观结构:(a)FN组中的阴极;(b)FN组中的阳极;(c)FA组中的阴极;(d)FA组中的阳极;(e)FB组中的阴极;(f)FB组中的阳极。

