西交大李平团队:告别局部热点!浸没 + 冷板 让服务器温度更均匀

来源 | International Journal of Thermal Sciences
链接 | https://doi.org/10.1016/j.ijthermalsci.2026.110676
01
背景介绍
数据中心扩张导致服务器功率密度不均,传统空冷存在散热效率低、风扇能耗高(占数据中心总能耗 35%-50%)、局部热点等问题,影响元件可靠性。单相浸没冷却结构简单、热效率高、运行成本低,可降低 CPU 峰值温度达 70.13%,但高功率元件(如 CPU)易出现局部流动停滞,散热不足。混合冷却现有方案依赖额外主动组件,系统集成性与稳定性受限,需优化冷板流道配置与参数匹配。
02
成果掠影

近期,西安交通大学李平团队采用单相浸没和冷板混合冷却方法,对不同功率的离散分布服务器单元进行冷却,并对一个完整的单相浸没和冷板的热行为进行了三维稳态数值模拟。通过系统的参数分析和正交设计方法,对五种冷却剂流动配置进行了研究,并对它们相对于重力的方向进行了评估。冷却剂温度和流量以及浸没液体条件的影响通过系统的参数分析和正交设计方法进行了量化。双入口和双出口配置为中央处理单元提供了最佳的温度均匀性。冷却剂的入口温度是最低的,而冷却剂的入口温度是最低的。被认为是中央处理器最高温度的主导因素,而整体温差主要受冷却结构布置和冷却剂流速的控制。低功率元件的温度主要由浸没液体的入口温度控制。平台控制器中心的最大温差降至 1.34K(较相关研究降低 62.98%)。表明所提出的系统实现了上级的温度均匀性。该组合冷却策略被证明可以保持跨分立功率元件的低温度梯度,并有望为现代服务器中热管理系统的设计提供理论支持。研究成果以“Thermal management of server with discrete power elements by localized cold plate enhanced single-phase immersion cooling and its orthogonal optimization”为题发表在《International Journal of Thermal Sciences》期刊。
03
图文导读

图1. 1U服务器内部元件的三维分布。

图2.浸没液体和冷却剂在槽和服务器单元内的流动形式:(a)槽,(b)服务器单元,(c)配置1的尺寸。

图3.不同冷却剂流配置示意图:(a)配置1,(b)配置2,(c)配置3,(d)配置4,(e)配置5。

图4. Tavg数值模型验证结果。

图5. Tmax的数值模型验证结果。

图6.给出了CPU在不同Tw,in下的各种配置的性能参数:(a)Tw,in = 293.15 K时的Tmax,(b)Tw,in = 303.15 K时的Tmax,(c)Tw,in = 313.15 K时的Tmax,(d)Tw,in = 293.15 K时的ΔTmax,(e)Tw,in = 293.15 K时的Δp和P。

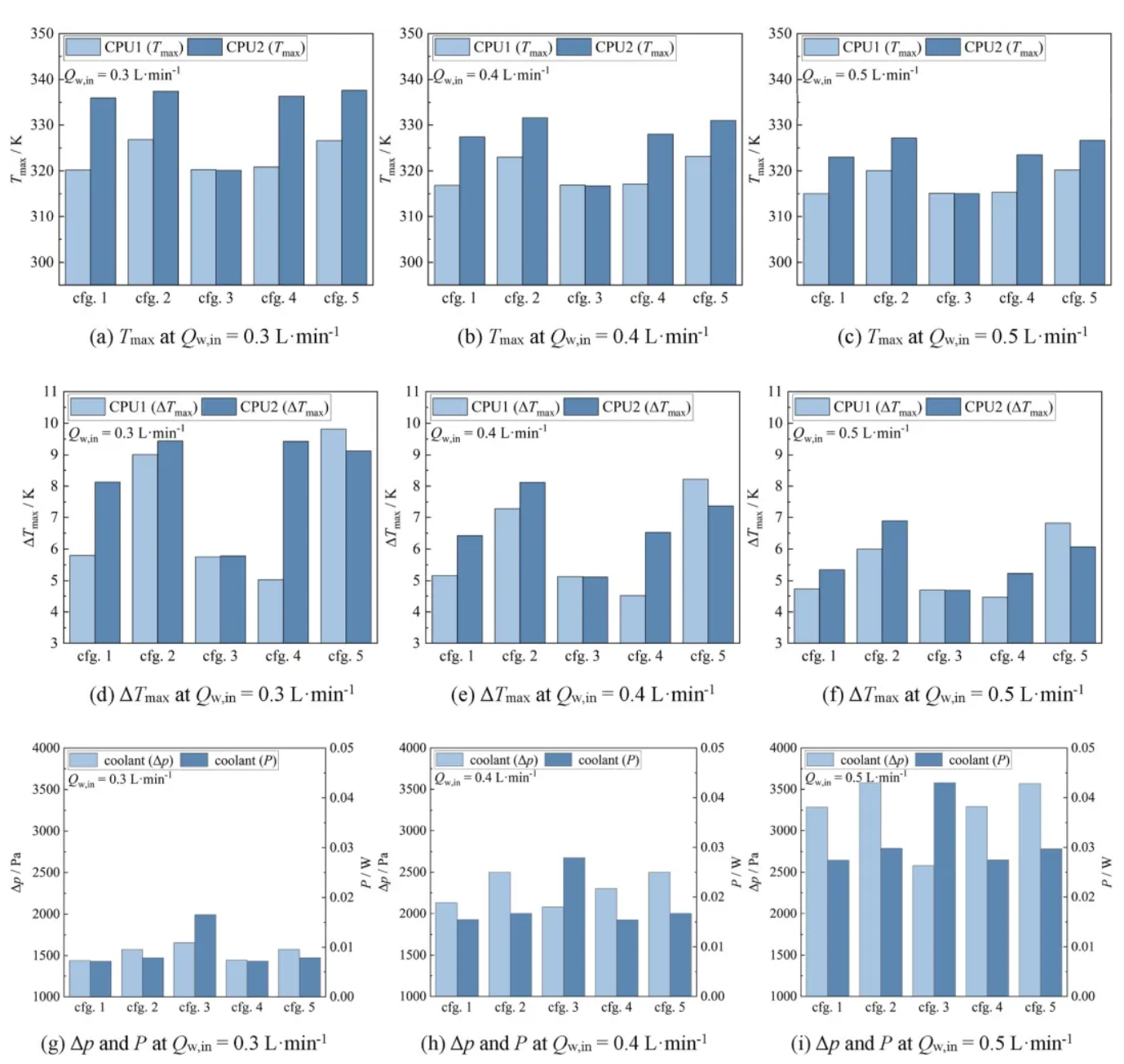
图7.为CPU提供了不同Qw,in下各种配置的性能参数:(a)Qw,in = 0.3 L/min时的Tmax,(b)Qw,in = 0.4 L/min时的Tmax,(c)Qw,in = 0.5 L/min时的Tmax,(d)Qw,in = 0.3 L/min时的ΔTmax,(e)Qw,in = 0.4 L/min时的ΔTmax,(f)Qw,in = 0.5 L/min时的ΔTmax,(g)Qw,in = 0.3 L/min时的Δ p和P,(h)Qw,in = 0.4 L/min时的Δp和P,(i)Qw,in = 0.5 L/min时的Δp和P。

图8. Tw,in = 293.15 K时不同流动配置下CPU-散热器接触表面(左)和CPU冷却散热器(右)的温度分布:(a)cfg. 1,(b)cfg. 2,(c)cfg. 3,(d)cfg. 4,(e)cfg. 5.

图9.在Qw,in = 0.4 L/min时,CPU 1散热器内部不同配置的流动矢量示意图:(a)配置1,(b)配置2,(c)配置4,(d)配置5。

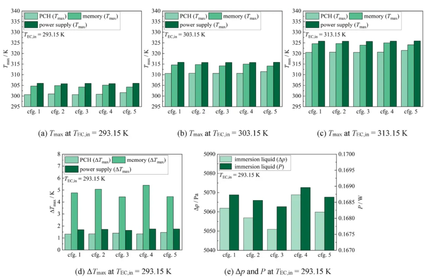
图10. PCH、存储器和电源在不同TEC,in下的各种配置的性能参数:(a)TEC,in = 293.15 K时的Tmax,(b)TEC,in = 303.15 K时的Tmax,(c)TEC,in = 313.15 K时的Tmax,(d)TEC,in = 293.15 K时的ΔTmax,(e)TEC,in = 293.15 K时的Δp和P。

图11.不同QEC下的各种配置的性能参数,针对PCH、存储器和电源:(a)QEC时的Tmax,in = 1 L/min,(b)QEC时的Tmax,in = 2 L/min,(c)QEC时的Tmax,in = 3 L/min,(d)QEC时的ΔTmax,in = 1 L/min,(e)QEC时的ΔTmax,in = 2 L/min,(f)QEC时的ΔTmax,in = 3 L/min,(g)QEC处的Δp和P,in = 1 L/min,(h)QEC处的Δp和P,in = 2L/min,(i)QEC处的Δp和P,in = 3 L/min。

图12.在TEC,in = 303.15 K时,在不同QEC条件下构型1的元素和TEC分布:(a)QEC,in = 1 L/min,(B)QEC,in = 2 L/min,(3)QEC,in = 3 L/min。

图13.各因素对CPU Tmax的平均水平影响。

图14.各因素对CPU ΔTmax的平均水平影响。

图15.各因子对总P的平均水平效应。

图16.各因子对其他元素最高温度的平均水平影响。


