环发所最新EST:生物基相变储能材料冷链物流应用进展

来源 | Journal of Energy Storage 设备功能工程学人 编辑
链接 | https://doi.org/10.1016/j.est.2026.120418
01
文章前瞻
冷链物流像一条隐形的生命线,托举果蔬从田间抵达餐桌的鲜度,却也背负着高能耗与高排放的压力。运输环节贡献了冷链总碳排放的80%以上,冷藏车为维持低温持续消耗燃油。制冷设备用能又会到冷链总能耗的60%左右。传统冷库的日均能耗甚至可达20-30 kWh/m³。生鲜消费越旺,冷链链路越长,温度控制就越像走钢丝,轻微的波动也可能引发品质下滑与食物浪费。关键矛盾非常集中,在果蔬冷链最常见的2–8 ℃冷藏窗口里,如何让温度更稳、能耗更低、材料更可靠。文献将相变储能材料引入冷链,让潜热充当温度的缓冲垫,并以秸秆生物炭为骨架,强化脂肪酸共晶体系的导热与形状稳定性,试图用一套可放大、可落地的材料方案,把冷链控温从被动耗能转向更聪明的热管理。
基于此背景,中国农业科学院农业环境与可持续发展研究所伍纲副研究员团队以“Preparation and characterization of corn straw biochar doped ternary fatty acid composite phase change materials”为题期刊《Journal of Energy Storage》 (IF=9.8)上发表相关成果,第一作者胡晓锋。

02
图文导读
图1展示了材料设计的总框架,核心是把温区调控与结构稳固同步推进。研究先用脂肪酸共晶配方调节相变温度,让材料的工作区间贴近冷链的低温需求。再引入秸秆生物炭,利用其连通孔隙与碳骨架结构形成复合体系。孔道网络像一张细密的网,把熔融态脂肪酸限制在内部,减少渗漏与流失。碳骨架又像热量的高速通道,削弱热阻,让冷量充放更迅速、更均匀。真空浸渍将共晶组分导入孔隙,冷却固化后形成更稳定的结构耦合,使温度可调、传热更快、形状更稳这3个目标彼此支撑,而不是彼此掣肘。整体思路强调协同而非单点拔高,为后续配方筛选、渗漏评估与应用验证铺设了清晰路径。

图1复合相变材料的形成机理
图2指出癸酸与月桂酸构成的二元体系中,熔融温度会随质量分数比变化而呈现明确趋势,配比就是最直接的调温旋钮。研究围绕理论最低共晶点附近制定实验策略,先借助Schroder-van Laar方程计算理论最优比例,再在理论点周围布置多组配方进行实测对照。这样安排的逻辑很务实,一方面要确保两种组分在熔融时能形成更均一的液相,避免相容性不足带来的分层与波动;另一方面要把相变温度尽量压向目标区间,为后续进一步调温留出余量。这种从理论到实验的靠近式搜索,把试错成本压缩到可控范围,让优化不再凭直觉摸索,而是沿着确定趋势稳步逼近冷链所需的温度窗口。

图2CA-LA二元相变材料的熔化温度随其组分的质量分数比的变化
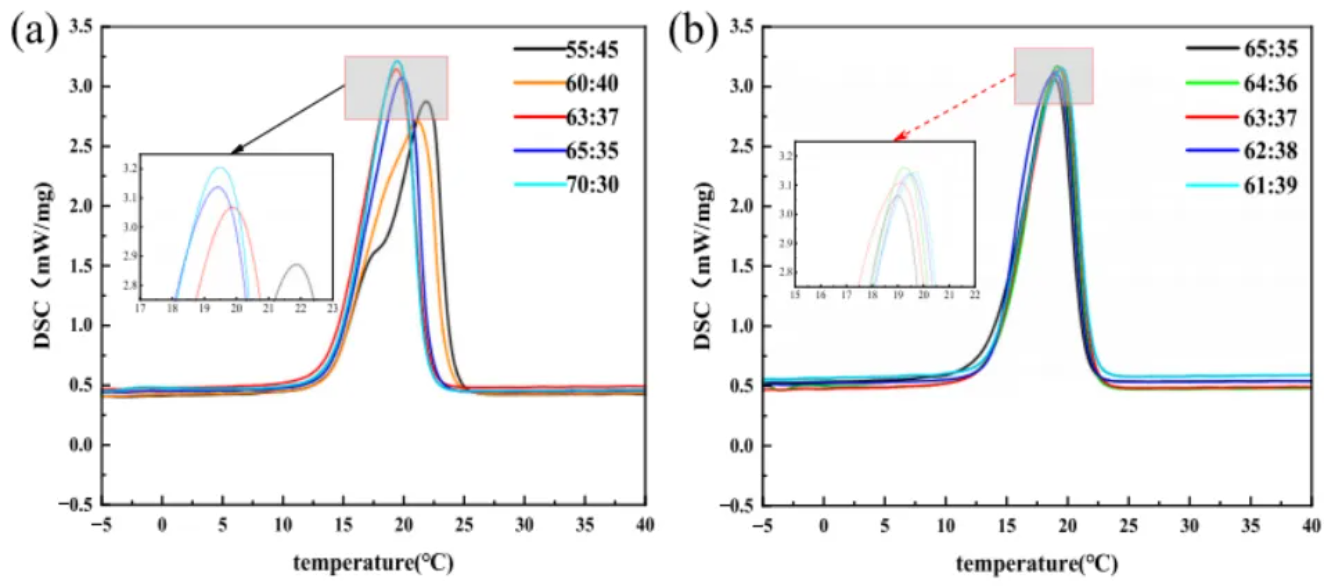
图3呈现不同二元配比的DSC结果,用数据为共晶点选择定标。多组比例下样品表现出良好的相容性特征,曲线形态支持体系能够形成稳定共晶行为,并未出现明显相分离信号。对比各组样品的相变温度与潜热后,研究锁定CA:LA为63:37时获得最低相变温度13.9 ℃,同时凝固潜热达到157.7 J/g,因此被确定为后续设计的最佳二元混合比例。研究还解释了理论与实验偏差的可能来源,理想溶液假设难以完全覆盖真实体系中碳链长度差异与分子作用力带来的非理想混合效应。于是,这一配方选择既有指标支撑,也有机理解释,让决策更可靠,也更经得起工程化放大时的检验。

图3 CA-LA固化过程的DSC曲线;(a)实验前的DSC曲线;(b) DSC曲线接近最低共晶比
图4表明秸秆生物炭的加入会同时牵动渗漏抑制与导热增强两条主线,并存在需要拿捏的最佳混合比例。滤纸渗漏对比把限域能力变得直观可见,生物碳占比较高时油印扩散明显减弱,说明熔融态相变组分被孔道网络有效吸附与锁定;当相变组分比例上升而载体相对不足,油印面积随之扩大,质量损失率也同步上升,渗漏风险被清晰捕捉。与此同时,导热系数呈现先升后降的非线性走势,并在某一配比达到最大值1.853 W·m⁻¹·K⁻¹。其背后可以理解为适量生物炭搭起连续传热骨架,让热流更易穿行;一旦过量,孔隙可能形成封闭气腔并增加界面热阻,反而拖慢热量传递。

图4(a)不同生物炭添加量的相变材料的热性能(a)热处理前的滤纸;(b)热处理后的滤纸;(c)不同质量分数比的复合相变材料的制备; (d)不同生物炭添加比例下的质量损失率和导热系数
图5测试其在实际冷藏场景的冷却能力。红外热成像记录温度场演化,结果显示箱体内温度分布整体较均匀,仅顶部升温相对更快、底部更缓,为实际装载与结构优化提供了直观参考。更关键的是,在相同冷量储存能力条件下,材料在2-8 ℃关键温区内的控温持续时间达到560 min,明显优于正十四烷的413 min与水的316 min。优势来源可归结为更匹配的相变温度与更高的导热能力共同发力,使冷量扩散更迅速,温升被更长时间压住。水的潜热释放集中在0 ℃附近,对2–8 ℃温区贡献有限。正十四烷虽温区合适,却受导热不足牵制。应用结果把材料价值落到可量化的收益上,直指冷链延时保鲜的核心诉求。

图5 (a)实验平台布置;(B)实验过程的红外热成像;(c)冰箱内外温度变化;(d)CA-LA-OA/CS B与碳酸钠-甘油冷却时间的比较
研究提出一条兼顾温区匹配、传热效率与形状稳定性的低温相变材料路线。通过脂肪酸共晶实现相变温度的精细调控,再借助秸秆生物炭的多级孔结构与碳骨架通道提升导热并抑制渗漏,材料在性能上形成更均衡的组合。代表性结果显示,相变温度可达3.1 ℃、潜热约104.9 J/g,热处理后的渗漏率约6.49%,经历500次冷热循环后潜热衰减小于2.3%,体现出较强的长期稳定性与工程可用性。应用验证进一步把2–8 ℃控温时长延长到560 min,回应了果蔬冷链对稳定温区与长时缓冲的迫切需求。
展望未来,这类农业废弃物生物炭与脂肪酸共晶的组合,不仅让材料来源更可持续,也为冷链末端的被动控温提供更轻量的选择。若围绕规模化制备一致性、复杂运输工况下的热管理设计,以及与包装结构的协同集成持续优化,这位来自秸秆的热量守门员或许能在更长链路里守住鲜度、压住能耗,让冷链的发展跑得更稳、更远。
03
部分作者简介

伍纲,中国农业科学院农业环境与可持续发展研究所副研究员。主要从事设施农业光热环境调控及节能技术的研究和推广工作,在太阳能聚光集热、设施园艺节能技术等方面取得多项创新。已主持国家自然科学基金青年项目1项、北京市科技项目1项,博士后基金项目2项,参与国家“863计划”、国家自然科学基金项目、国家科技支撑计划等课题4项,在科技研发方面积累了丰富的经验。第一或通讯作者发表SCI期刊论文20余篇,EI期刊论文10余篇,授权发明专利10余件,参编著作2部。获得中国农科院科技进步二等奖1项、工信部创新创业奖1项。
由 DT新材料 主办的 第三届相变材料创新与应用论坛 定于 2026年4月16-18日 在 广州 召开论坛以“智启相变・赋力千行”为主题,旨在促进相变领域学术界和企业界之间的交流与合作,探讨行业最新前沿和突破,推进技术与应用创新。论坛组委会诚邀领域专家、学者学生,以及产业界人士共同参与,共同推进相变产业新未来。

