纳米流体+微通道液冷板:高功率电子设备散热新方案!

来源 | International Journal of Thermal Sciences
链接 | https://doi.org/10.1016/j.ijthermalsci.2025.110651
01
背景介绍
随着电子设备(数据中心芯片、电动汽车电池等)小型化与功率密度提升,50% 以上电子设备故障源于散热不足,传统空冷无法满足高功率需求,液冷板因结构成熟、安全性高成为主流冷却方案。现有微通道液冷板存在 “传热增强与流阻升高” 的矛盾,需通过介质优化与结构协同解决该平衡问题。
02
成果掠影

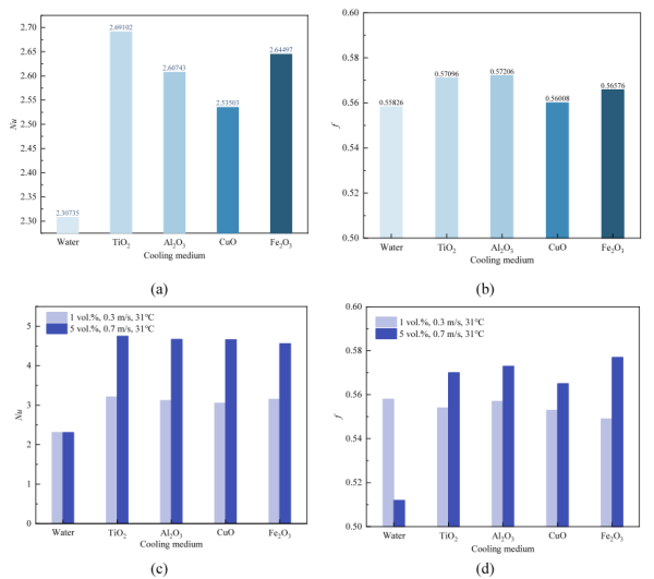
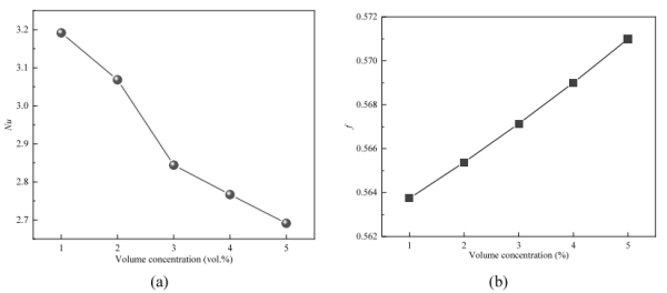
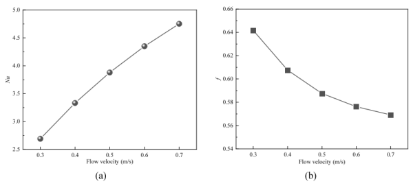
近日,南京工业大学王瑜团队创新性地提出了将TiO₂/H₂O纳米流体与交错逆流矩形微通道液冷板相结合,建立了一种协同冷却机制,在提高换热效率的同时最小化流动阻力,并通过数值模拟和实验系统地研究了纳米颗粒种类、体积浓度等因素对冷却效果的影响(1-5体积%)、入口流速(0.3-0.7 m/s)和初始温度(31-39 ℃)对冷却板的热工水力性能的影响。结果表明,在所测试的纳米流体中,TiO₂实现了最显著的传热增强,与5体积%的纯水相比,其努塞尔数(Nu)增加了16.6%。尽管较高的纳米颗粒浓度显著增加了流动阻力,提高入口速度可改善传热采用Box-Behnken响应面法(RSM),优化了反应器的最佳操作条件(1体积%,0.511 m/s,34.6 ℃),在低流动阻力约束下产生31.98%的Nu增加。实验验证表明,在0.6 m/s和1体积% TiO₂/H₂O纳米流体下,与纯水相比,接触表面温度降低了4.89%,最大Nu提高了32.86%。此外,提出了一种新的Nu关联式,并与实验数据、模型预测和已发表文献的结果进行了对比验证。这些发现为具有严格热管理要求的大功率电子器件提供了一种实用而有效的冷却解决方案,为学术研究和工程应用提供了有价值的见解。研究成果以“Staggered counterflow rectangular microchannel liquid-cooled plate based on nanofluids for enhanced heat transfer performance”为题发表在《International Journal of Thermal Sciences》期刊。
03
图文导读

图1.液体冷却板结构和流体域示意图。

图2.微通道几何参数示意图。

图3.模拟热源温度与网格数的关系。

图4.网格拓扑结构示意图。

图5.(a)液体冷却平板模型,(b)数值模拟和实验结果的比较。

图6.(a)不同冷却介质对传热性能的影响(5体积%,0.3 m/s,31 ℃),(b)不同冷却介质对水力特性的影响(5体积%,0.3 m/s,31 ℃),(c)在极端操作条件下不同纳米流体的传热性能的比较,(d)不同纳米流体在极端操作条件下的流动性能的比较。

图7.不同冷却介质的温度等值线图。

图8.体积浓度对(a)Nu和(b)f值的影响。

图9.(a)入口流速对(a)Nu和(b)f值的影响。

图10.不同入口流速下的温度等值线图。

图11.(a)不同初始温度与Nu的关系,(b)不同初始温度与f值的关系。

