重构 2.5D 封装热管理,TSV 嵌入式微通道散热器的创新设计
来源 | International Journal of Heat and Mass Transfer
链接 | https://doi.org/10.1016/j.ijheatmasstransfer.2025.127908
01
背景介绍
随着集成电路的不断进步,芯片密度和小型化程度显著提高,导致片上温度大幅上升,针对不同小芯片封装配置量身定制的热管理策略变得至关重要,目前微通道热沉(MCHS)被广泛用于改善多芯片封装中的散热。近年来,嵌入式MCHS在芯片封装中得到了广泛的研究。然而,传统微通道散热器(MCHS)存在散热不足或嵌入后影响布线完整性的问题。
02
成果掠影

近日,南通大学赵继聪、孙海燕团队提出了一种创新的散热方法,将MCHS集成在TSV内通过将TSV嵌入到MCHS的壁中,该方法在保持布线完整性的同时显著增强了散热。研究将这种新型结构定义为T-MCHS。首先,我们验证了所提出设计相较于传统结构具有更优的散热能力和更高的摩擦因子。随后,采用改进的NSGA-Ⅱ(非支配排序遗传算法)对该结构进行优化。为提高计算效率,在优化过程中对仿真模型进行简化,并基于仿真数据构建ANN(人工神经网络代理模型)以替代耗时的仿真计算,从而提升优化效率。结果显示,优化后的 T-MCHS 相比传统 MCHS,努塞尔数(Nu)提升 72% ,泵功仅增加 0.09 mW ,且基板应力均匀性显著改善,最大应力降低 70 MPa,为高功率密度 2.5D 封装的热管理提供有效方案。研究成果“Design and intelligent optimization of TSV-based embedded microchannel heatsinks in 2.5D Packaging”为题发表在《International Journal of Heat and Mass Transfer》。
03
图文导读

图1. 基于T-MCHS的2.5D多芯片结构。

图2.模拟设置和模型示意图。

图3. (a)不同MCHS中摩擦系数的比较(b)MCHS流动状态的比较。

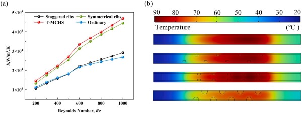
图4.(a)不同MCHS中传热系数的比较(b)MCHS温度的比较。

图5.人工神经网络。

图6.ANN模型的误差统计。

图7.改进的NSGA-II算法流程图。

图8. (a)未优化T-MCHS的温度(b)当ωp=0.3和ωT=0.7时优化T-MCHS的温度

图9.(a)常规MCHS的应力(b)优化T-MCHS的应力。

图10. TSV沿着流体流动方向的应力分布。

图11.T-MCHS与其他工程在不同水流条件下的比较

