• 中文版
  • English
首页 新闻资讯 重庆大学新进展:相变复合薄膜突破电子设备热管理难题

重庆大学新进展:相变复合薄膜突破电子设备热管理难题

时间:2025年10月19日

来源 | Composite Structures

链接 | https://doi.org/10.1016/j.compstruct.2025.119721




01

背景介绍


随着电子设备(智能手机、AR 眼镜等)向高集成度、高功率密度发展,面临两大核心挑战;热管理难题:传统单一相变材料(PCM)相变完成后无法持续吸热,难应对瞬时连续热冲击;电磁干扰(EMI)问题:高功率芯片易产生电磁辐射,需同时实现 EMI 屏蔽以保障设备稳定与人体安全。值得注意的是,现有的研究主要集中在提高导热性和EMI屏蔽,而热传导,相变储热和EMI屏蔽功能的协同集成很少深入探讨。


02

成果掠影


微信图片_2025-10-20_101301_515.png


近日,重庆大学沈骏教授团队提出了一种新型梯度相变热管理材料(GPCTCM),这是通过制造Multi-LM@MXene和纤维素微纤维实现的(MultiLM@MXene/CMF)复合薄膜,通过实验和数值模拟的方法对复合薄膜进行了系统的表征,结果表明复合薄膜具有双折射特性。在12.5 °C和61.0 °C下的相变行为,具有29.7 J/g的高潜热。它们还表现出9.47 W/m·K的各向同性热导率和70.0 dB的出色电磁干扰(EMI)屏蔽效能。此外,碳微纤维(CMF)提供的结构支撑使材料获得7.3 MPa的抗拉强度,并显著降低了液态金属的渗漏风险。这些发现证实,通过多相变液态金属的协同整合可有效提升复合材料的热电性能。该研究为高性能电子系统用先进热界面材料的设计与开发提供了新范式。研究成果“Flexible Gradient Phase-Change Composite Films with Superior Thermal Management and EMI Shielding Performance”为题发表在《Composite Structures》




03

图文导读


微信图片_2025-10-20_101309_539.jpg

图1. MXene和LM@MXene/CMF薄膜的制备过程.(a)MXene的制备;(b)Multi-LM@MXene/CMF薄膜的制备。


微信图片_2025-10-20_101311_993.jpg

图2. InBiSn@MXene颗粒和MultiLM@MXene/CMF薄膜的形貌和元素分布,(a)InBiSn@MXene颗粒形貌和粒度分布;(b)LM@MXene和CMF的键合状态;(c)活化前后Multi-LM@MXene/CMF薄膜形貌;(d)Multi-LM @ MXene/CMF薄膜元素图谱。


微信图片_2025-10-20_101314_555.jpg

图3. InBiSn@MXene颗粒和Multi-LM@MXene/CMF薄膜的成分分析,(a)InBiSn@MXene颗粒的TEM图像;(b)MXene/M(In,Bi,Sn)的吸附能;(c)MXene、Multi-LM@MXene和Multi-LM@MXene/CMF的FTIR测试结果;(d)LM@MXene和Multi-LM@ MXene/CMF的XRD测试结果;(e)MultiLM@MXene/CMF的XPS全谱图。


微信图片_2025-10-20_101317_141.jpg

图4.(a)Multi-LM@MXene/CMF薄膜拉伸试验过程;(b)拉伸应力-应变曲线;(c)拉伸强度和伸长率;(d)强度和柔韧性演示;(e)-(f)断裂形貌。


微信图片_2025-10-20_101319_526.jpg

图5. Multi-LM@MXene/CMF薄膜的电磁屏蔽和导电性能,活化前后Multi-LM @ MXene/CMF薄膜的EMI SET(a)、A、R和T的平均值(b)和电导率值(c);不同组成的Multi-LM@ MXene/CMF薄膜的EMI SET(d)、A、R和T的平均值(e)和电导率值(f);(h)Multi-LM@MXene/CMF膜的电磁屏蔽的证明(h),和电导率的证明(i)-(j)。


微信图片_2025-10-20_101322_450.jpg

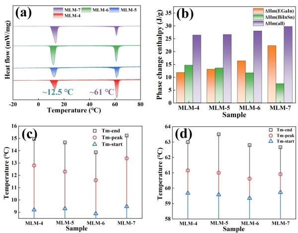
图6. Multi-LM@MXene/CMF薄膜的相变行为:(a)不同组成的MultiLM@MXene/CMF薄膜的DSC曲线;(b)相变焓;(c)相变点12.5 ℃的特征温度;(d)相变点61.0 ℃的特征温度。


微信图片_2025-10-20_101325_077.jpg

图7. Multi-LM@MXene/CMF的热性能,(a)活化前后薄膜的热导率;(b)不同组分薄膜的面外热导率;(c)活化前后薄膜的内部热导率;(d)不同组分薄膜的面内热导率;(e)活化前后薄膜的表面形貌;(f)与近年来报道的对比[58-67];(g)活化前后薄膜内部导热系数的模拟;(h)LED灯珠表面的平均温度曲线;(i)LED灯珠表面的热像;(j)-(k)活化前后薄膜的表面粗糙度。


微信图片_2025-10-20_101327_503.jpg

图8. 不同老化时间后Multi-LM@MXene/CMF薄膜的性能:(a)面内热导率;(b)面外热导率;(c)DSC曲线;(d)相变焓;(e)热压后的表面形貌;(f)热压后的质量损失率。


微信图片_2025-10-20_101329_962.jpg

图9.(a)-(c)MXene/In、MXene/Bi、MXene/Sn异质结的差分电荷分布;(a1)MXene-OH/In、(a2)MXene-O/In、(b1)MXene-OH/Bi、(b2)MXene-O/Bi;(c1)MXene-OH/Sn、(c2)MXene-O/Sn的态密度。


微信图片_2025-10-20_101332_067.jpg