石墨烯+六方氮化硼!调控近场辐射传热
来源 | International Journal of Heat and Mass Transfer
链接 | https://doi.org/10.1016/j.ijheatmasstransfer.2025.127271
01
背景介绍
近场辐射传热(NFRHT)是一种在极短距离(通常小于或等于热辐射的特征波长)下发生的热传递现象。近场辐射传热的动态调控在热管理与能量转换领域具有重要应用前景,但是,尽管对近场辐射传热动态调控的需求日益增长,但开发结构简单且动态可调的方法仍然是一个挑战。近年来,二维材料因其卓越的光电特性在热传导、光学和材料科学领域引起了广泛关注,石墨烯和六方氮化硼(hBN)是最具代表性的例子。石墨烯的等离激元(NSPPs)与hBN的双曲声子极化激元(HPPs)之间的耦合在调控近场辐射传热方面引起了显著的研究兴趣。
02
成果掠影

近日,湖南师范大学蒋乐勇团队联合山东高等技术研究院热科学研究中心吴小虎团队研究了由石墨烯覆盖的hBN超表面组成的二体系统中的非互易近场辐射传热现象。结果发现,石墨烯中的非互易表面NSPPs与hBN超表面中的HPPs之间存在强耦合作用,使得在石墨烯中施加漂移偏置电流对近场辐射传热的调控有着独特的优势。当真空间隙小于某一个特定值时,通过增加漂移电流速度,热传递系数可提高至初始值的数倍。数值计算结果进一步揭示了漂移电流速度的变化会直接影响NSPPs的色散关系和光子透射系数分布,从而实现对近场辐射传热的有效调控。研究成果以“Manipulation of nonreciprocal radiative heat transfer in a two-body system composed of graphene-covered hBN metasurfaces”为题发表在《International Journal of Heat and Mass Transfer》期刊。
03
图文导读

图1.石墨烯覆盖的hBN超表面之间近场辐射热传递的示意图。在石墨烯表面沿y方向施加漂移电流。

图2.单层漂移偏置石墨烯的σdyy虚部与波矢的关系图:(a)vd=0,μ=0eV;(b)vd =0.9vf,μ=0eV;(c)vd=0.9vf,μ=0.4eV。频率为0.0987eV/ℏ。通用电导率σ0= e²/(4*ℏ)。

图3.hBN光栅的介电常数,阴影区域代表剩余射线带。这里,p=100nm,w=60nm。

图4.当ω=0.068eV/ℏ时,不同漂移速度下,沿z方向近场表面NSPPs的衰减长度。

图5.在(a-c)ω=0.068eV/ℏ和(d-f)ω=0.101eV/ℏ时,两体系统在不同漂移电流速度下的波矢空间中的PTC分布。

图6.在(a-c)ω=0.178 eV/ℏ和(d-f)ω=0.191 eV/ℏ时,两体系统在不同漂移电流速度下的波矢空间中的PTC分布。

图7.在(a)μ=0eV,(b)μ=0.2eV,和(c)μ=0.4eV时,两体NFRHT系统的PTC。

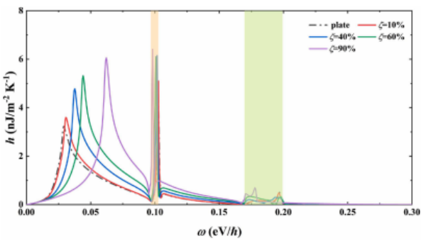
图8.具有不同填充因子的两体系统的h(ω)。
