• 中文版
  • English
首页 新闻资讯 上海微系统所又一突破!双向高导热石墨膜

上海微系统所又一突破!双向高导热石墨膜

时间:2025年05月30日

来源 | Advanced Functional Materials

链接 | https://doi.org/10.1002/adfm.202425824




01

背景介绍


随着电子工业向高性能和小型化方向发展,产生的巨大热通量对维持操作稳定性提出了重大挑战。包括石墨烯、石墨和聚酰亚胺衍生物在内的碳基导热薄膜因其显著的平面内热导率(Kin),在电子散热方面变得越来越有价值。然而,它们的垂直于平面方向的热导率(Kout)仍然不理想,通常不超过8W/mK,这限制了它们在高热通量密度下的整体传热效率。




02

成果掠影


1(1).png


近日,中国科学院上海微系统与信息技术研究所丁古巧、何朋、王刚团队通过对芳纶薄膜(AFs)进行石墨化处理,制备出具有最小缺陷、大晶粒尺寸和有序堆叠的芳纶衍生石墨膜(AGFs)。值得注意的是,在3000°C热退火后,AGFs展现出令人印象深刻的双向热导率,Kin高达1754 W/mK,Kout为14.2W/mK。高性能的AGFs在模拟智能手机热管理场景中表现出卓越的冷却效率,促进了高功率半导体芯片热管理所需的热量快速传递。这项工作为从AFs合成高质量石墨膜提供了关键见解,并为设计适用于有效电子热管理的双向导热石墨膜提供了指导。研究成果以“Bidirectionally High-Thermally Conductive Graphite Films Derived from Aramid for Thermal Management in Electronics”为题发表在《Advanced Functional Materials》期刊。




03

图文导读


2(1).png

图1.通过高温热处理制备AGFs。a) 制备AGFs的示意图。b) 热处理过程中薄膜表面的数码照片。c) 热处理过程中薄膜的横截面SEM图像。 


3(1).png

图2.AFs和AGFs的结构与性能。a) AF和AGFs的全扫描X射线光电子能谱(XPS)。b) AF的C 1s XPS光谱。c) AGF-3000的C 1s XPS光谱。d) 根据XPS数据计算的不同温度热处理后AF的原子分数。e) 初始AF和AGFs的X射线衍射(XRD)图样。f) Lc的演变。。


4(1).png

图3.AFs和AGFs的拉曼表征。a) 随着退火温度升高AF的拉曼光谱演变。b) ID/IG的演变。c) La的演变和AGFs的ID/IG映射图像。d) G'峰(洛伦兹拟合)的比较。e) AGFs的Pdisorder映射图像。


5(1).png

图4.示意图说明了AGF的制备机制。


6(1).png

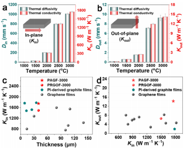
图5.AGFs的热性能。a) AGFs在平面方向上的Din和Kin。b) AGFs在垂直于平面方向上的Dout和Kout。c) 芳纶衍生石墨膜、PI衍生石墨膜和石墨烯膜的膜厚度和Kin的比较。d) PAGF-3000、PRGOF-3000、PI衍生石墨膜和报道的石墨烯基膜的Kin和Kout的比较。


7(1).png

图6.智能手机的散热模拟。a) 智能手机散热模拟模型的示意图。b) 散热膜的温度分布。c) PAGF-3000和PRGOF-3000沿(b)中红线温度分布。d) 无散热器、带有PRGOF-3000和带有PAGF-3000的CPU温度分布。e) 无散热器、带有PRGOF-3000和带有PAGF-3000的CPU最高温度和平均温度。


8.png

图7.AGFs的散热。a) 散热测试平台的示意图。b) 裸芯片、PRGOF-3000和PAGF-3000在不同操作时间的温度分布。c) 中心温度随时间的变化。d) 不同操作时间的温差比较。