• 中文版
  • English
首页 新闻资讯 液态金属赋能TPU弹热制冷,热导率提高164%!

液态金属赋能TPU弹热制冷,热导率提高164%!

时间:2025年05月28日

来源 | Advanced Functional Materials

链接 | https://doi.org/10.1002/adfm.202421386




01

背景介绍


传统蒸汽压缩制冷技术中氢氟碳制冷剂的广泛使用加剧了气候的恶化。因此,在全球加速迈向绿色可持续发展的背景下,开发绿色、环保且高效的制冷技术显得尤为关键。弹热制冷技术是一种极具潜力的新型制冷方式,它通过材料在应力作用下发生结构变化所产生的弹热效应实现制冷。当前对弹热材料的研究主要聚焦于形状记忆合金之上。然而形状记忆合金虽具备显著的热效应,却存在驱动力高、材料脆、寿命短、成本高等缺陷。形状记忆聚合物则是另一种潜在的弹热材料,凭借其加工简单、驱动应力低等优势逐渐受到关注,但其低导热性使得热量难以及时释放,制约了性能提升。





02

成果掠影


1.png


近日,北京科技大学张虎团队将低熔点、高导热的GaInSn液态金属(LM)引入聚氨酯(TPU),获得了具有高导热及高弹热性能的TPU@LM形状记忆聚合物复合材料。LM具有高热导率和流动性,在TPU中均匀分散,在TPU基体中形成密集的热传导网络,使热导率提高了164%。此外,这种更大的热导率显著提高了eCE性能,在3的伸长比下实现了8.7 K的最大ΔT,比纯TPU高出约30%。LM的流动性有助于纤维链的旋转重排,有利于应力诱导的结晶恢复,并在eCE循环过程中降低加载应力和残余应变。LM的加入增强了ΔT和冷却范围,同时在更高频率下实现了更大的冷却功率。与典型的eCE合金和聚合物相比,TPU@LM表现出比其它材料平均高出35倍的比温度变化(ΔT/σ),显著推进了eCE技术的发展。研究成果以“High-Performance Elastocaloric Refrigeration via Liquid Metal-Enhanced Polyurethane”为题发表在《Advanced Functional Materials》期刊。




03

图文导读


2.png

图1. a) TPU@LM复合材料的示意图制备过程。b) 获得的纯TPU薄膜和含12 wt.% LM的TPU@LM薄膜的图像。c) 室温下不同LM含量的TPU的XRD图谱。d) TPU@12 wt.% LM的XPS全谱。e) 高分辨率Ga 3d光谱。f) TPU和g) TPU@12 wt.% LM的顶面扫描电子显微镜(SEM)图像。h) TPU@12 wt.% LM顶面的EDS光谱。h) TPU和j) TPU@12 wt.% LM的横截面SEM图像。


3.png

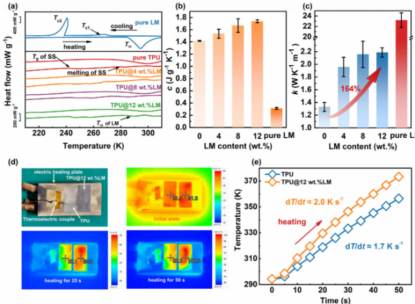
图2.a) LM和不同LM含量的TPU在加热和冷却过程中的DSC曲线。b) 室温下不同LM含量的TPU的比热。c) 不同LM含量的TPU的热导率。d) 在电热板上加热时,用红外相机测量纯TPU和TPU@12 wt.% LM的温度图像。e) 纯TPU和TPU@12 wt.% LM的表面温度随加热时间的变化。


4.png

图3.a) 聚合物电热效应(eCE)的机制。b) TPU和c) TPU@12 wt.%在初始状态和