• 中文版
  • English
首页 新闻资讯 一种热传导聚乙烯棒合成方法,热导率13.5W/mK

一种热传导聚乙烯棒合成方法,热导率13.5W/mK

时间:2025年05月05日

来源 | Materials Horizons

链接 | https://doi.org/10.1039/D4MH01419G




01

背景介绍


随着对高功率密度微电子产品的需求增加,过热成为限制设备性能的瓶颈。特别是,异质集成架构可以放大散热的重要性,并需要关键结点之间的电绝缘以防止介电击穿。因此,迫切需要具有高热导率和电绝缘性的热界面材料(TIMs)来解决这一挑战。聚合物纳米复合材料TIMs,如导热膏和导热垫,由聚合物基体与高热导率填料组成。它们机械柔韧且通常是电绝缘的,但与金属基TIMs相比,其热导率要低得多。尽管更高的填料负载率增强了热导率,但它也导致油脂和硬化垫的粘度问题性增加,从而降低了柔韧性和增加了接触热阻。具有高热导率的纯聚合物TIMs是可取的,但到目前为止仍无法实现。




02

成果掠影


1.png

近日,康奈尔大学Zhiting Tian团队通过固态拉伸技术合成了具有垂直排列聚合物链的热传导聚乙烯棒,实现了13.5W/mK的热导率,覆盖面积为2.16mm²。团队利用广角X射线散射来阐明导致这种热导率增强的分子结构变化。此外,团队进行了设备冷却实验,并与商用陶瓷填充硅胶热垫在3.6W加热功率下相比,展示了热点温度降低了39%。因此,这种具有纳米级结构精炼的大规模热传导PE棒展示了卓越的冷却性能,为微电子学的热管理提供了作为先进热界面材料的潜力。研究成果以“Bulk thermally conductive polyethylene as a thermal interface material”为题发表在《Materials Horizons》期刊。




03

图文导读

2.png

图1.  聚乙烯预制品合成步骤:(a) 通过超声波处理实现PE粉末的均匀分布。(b) 在油浴中溶解PE粉末以确保均匀的温度分布。(c) 将聚合物凝胶化成所需形状。(d) 干燥PE预制品。固态拉伸演示:(e) 在温度室内保持升高温度的同时拉伸PE预制品。(f) 在室温下冷却拉伸后的样品以固定聚合物链的排列。水平线是拉伸比的跟踪标记,垂直的波浪线是聚合物链的示意。



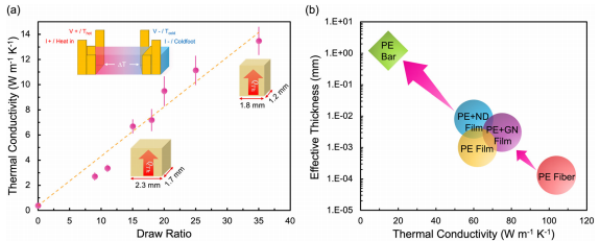
3.png

图2.  (a) 测量的PE棒的热导率随拉伸比的变化及其覆盖面积。连接TTO到PPMS的引线连接的PE棒的热导率测量。(b) 与之前的研究工作(纳米金刚石(ND)和石墨烯(GN))的样品尺寸比较。


4.png


图3. (a) 通过溶液浇铸得到的未拉伸PE预制品的扫描电子显微镜(SEM)图像;(b) 拉伸比为17的PE棒的SEM图像;(c) 拉伸比为35的PE棒的SEM图像。广角X射线散射(WAXS)图案:(d) PE预制品;(e) 拉伸比为35的PE棒。(f) 从WAXS获得的晶体取向和结晶度。


5.png

图4.  (a) 内部制造的设备冷却原型模型。(b) 1.6 W加热器的时变红外图像。(c) 1.6 W加热器的外推热点温度。(d) 3.6 W加热器的外推热点温度 。