浙大团队金刚石微流控冷却,突破芯片极限热流

来源 | SCIENCE CHINA Technological Sciences
链接 | https://doi.org/10.1007/s11431-025-3150-x
01
背景
随着宽禁带半导体(如SiC、GaN、Ga₂O₃)在电力电子、5G基站、电动汽车等领域的应用,器件功率密度不断提升,局部热流密度可超过1 kW/cm²,甚至接近太阳表面热流(~6.3 kW/cm²)。如此高的热负荷会导致结温升高、载流子迁移率下降、器件可靠性降低。传统散热技术难以应对这种极端热流,尤其是芯片内部的局部热点问题。因此,亟需在器件级实现高效、紧凑的热管理方案。
02
成果掠影

近日,浙江大学吴赞团队将超高导热多晶金刚石基底与芯片内歧管微通道微流控冷却深度集成,构建近结热管理体系,同步强化横向扩热与垂直对流散热,突破传统材料与冷却技术的性能上限。提出金刚石基底 + 芯片内微流控冷却的近结热管理策略,通过多晶金刚石的超高导热与歧管微通道的高效对流结合,在结温≤120℃下实现4099 W/cm²背景热流、73.5 kW/cm²热点热流、0.019 cm²·K/W总热阻,较此前最高纪录热流提升2.38 倍、热阻降低20.8%,为宽禁带半导体极端热管理提供全新案。研究成果以“Enabling record-high heat flux in wide-bandgap electronics via in-chip microfluidic cooling on diamond substrates ” 为题,发表于《SCIENCE CHINA Technological Sciences 》期刊。
03
图文导读

图1(在线彩色)近结冷却芯片的结构设计和制造工艺。(a)共同设计的电热架构的示意图,其中电阻加热器膜用作热源,金刚石基板促进高效冷却,铜歧管实现流体分配。冷却剂从入口歧管垂直流入活性区域下方的微通道,并在热量提取后通过出口歧管排出。(b)MMC中流动路径的详细信息。(c)热源示意图,包括四个背景加热器和两个热点。铂构成主加热器,而金构成互连和焊盘。(d)制造的加热器的光学显微照片。(e)激光蚀刻微通道的SEM图像。(f)激光切割胶带的图像。(g)冷却芯片的制造流程图,包括绝缘层沉积、加热器图案化、互连金属化

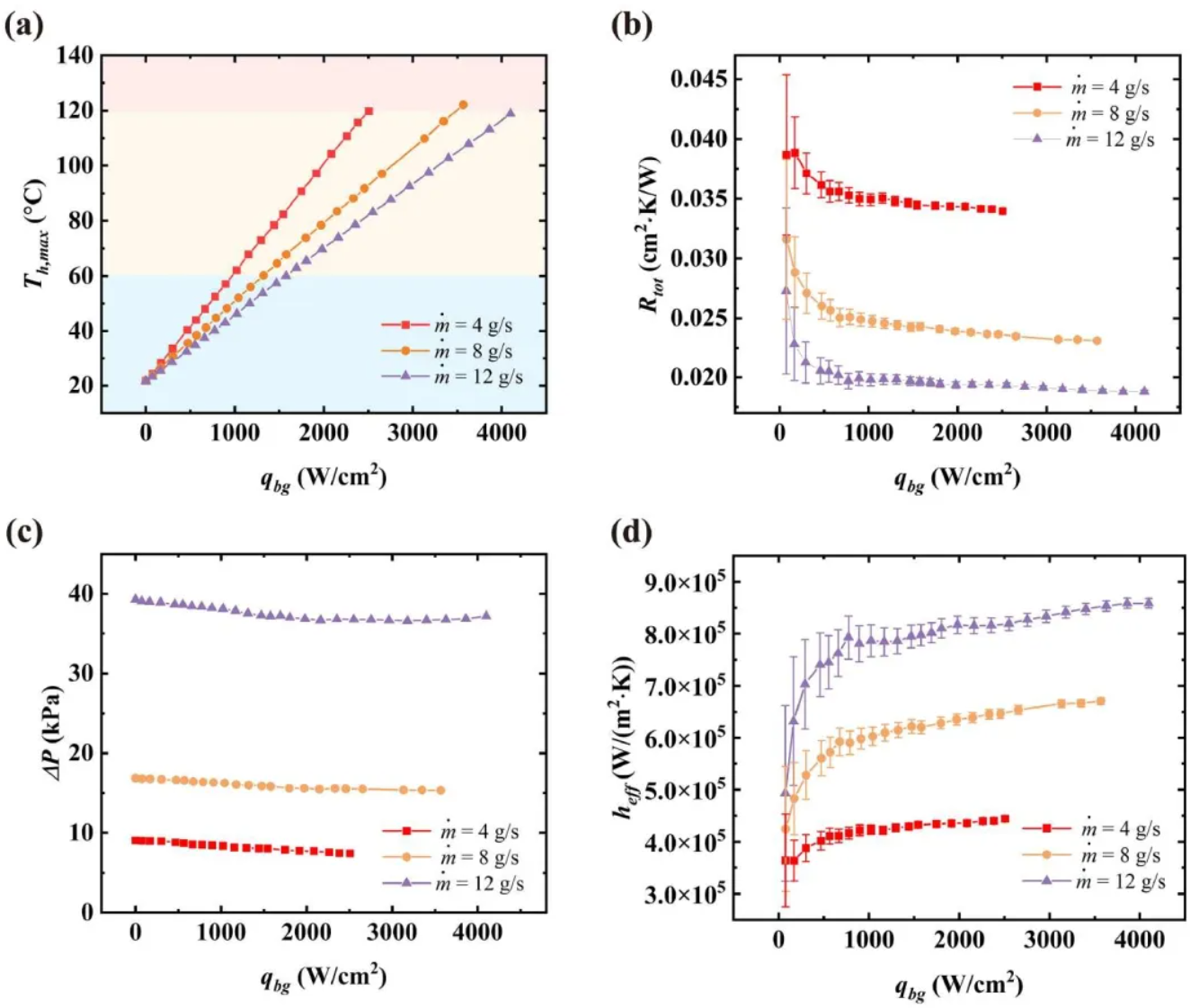
图2(在线彩色)仅背景加热条件下近结冷却芯片的热工水力性能。(a)不同质量流率下作为背景热通量函数的最高温度。线性温升证实了单相对流占主导地位,在118.9°C时达到了4099 W/cm 2的最大热通量。(b)总热阻与热通量。

图3(在线彩色)不同质量流率下并发背景和热点加热下的局部冷却极限。黑线仅表示背景加热,蓝线表示同时进行背景和热点加热。T bg,max和T hs,max分别表示背景加热器和热点区域的最高温度。不同的符号表示在每种测试条件下施加的热点热通量的不同水平。(a) 流速为8 g/s时的最高温度与热通量。(b)流速为4 g/s时相应的结果。

图4(在线彩色)质量流速为8 g/s时芯片有源区的温度等值线图。(a)-(c)同时进行背景和热点加热;(d)-(f)仅用于背景加热。

图5(在线彩色)不同质量流量和背景热通量下热点的热性能。(a)最高热点温度与热点热通量的概述。(b)–(f)在背景热通量分别为0、500、1000、1500和2000 W/cm 2的不同质量流量下,最大热点温度与热点热通量的关系。(g)不同位置热点的传热性能。(h)两个热点位置的示意图(由透明SiC晶片演示,微通道宽度为20μm)。

图6(在线彩色)不同基材的微结构冷却方法的基准[18,20,22-28]。(a)对应于60°C温升的等效热通量与COP的关系。(b)总热阻与实验获得的最大热通量的函数关系。

