仅降 20% 性能!金刚石微通道散热,成本直降 61.6%

来源 | International Journal of Thermal Sciences
链接 | https://doi.org/10.1016/j.ijthermalsci.2026.110729
01
背景
现代电子器件向微型化、高性能发展,芯片级热管理面临超 1000W/cm²高热流密度挑战,传统散热器无法满足需求。金刚石微通道散热器,利用金刚石的特殊导热性,提供了一个有前途的解决方案。然而,金刚石的高硬度和成本导致这种散热器的制造成本升高。现有研究仅聚焦散热性能优化,未兼顾热工水力性能与制造约束,缺乏系统化高效优化方法。
02
成果掠影

近日,西安交通大学胡文波团队基于机器学习的多目标优化方法,提出了一种同时考虑热工水力性能和制造目标的金刚石微通道热沉设计目标优化方法;基于可解释机器学习,针对金刚石微通道散热器开展制造约束下的多目标优化设计,通过COMSOL 数值模拟生成 980 组全因子实验数据集,以人工神经网络(ANN)为代理模型、遗传算法(GA)求解帕累托最优解,结合SHAP 可解释分析量化几何参数影响,同步优化热工水力性能(最高温度 Tₘₐₓ、压降 ΔP)与制造目标(横截面积 S、深宽比 R);最优方案仅牺牲20%综合性能(PEC),即可实现61.6% 材料成本与58% 加工难度的大幅降低,这项工作提供了一种系统的设计方法,成功地平衡了性能与可制造性,为金刚石微通道散热器的可扩展工业应用铺平了道路。研究成果以“Manufacturing-constrained multi-objective optimization of diamond microchannel heat sinks via interpretable machine learning” 为题,发表于《International Journal of Thermal Sciences》期刊。
03
图文导读

图1.(a)总体三维结构;(b)横截面视图;(c)顶视图;(d-f)几种不同的微通道配置。
图2.模拟中应用于散热器的边界条件。

图3.微通道热沉的网格结构(hch = 800 μm,wch = 100 μm,θ = 10 μm,φ = 10 μ m)。

图4.实验和数值模拟之间(a)壁温和(b)ΔP的比较[62,63]。

图5.基于不同目标组合的优化任务公式。

图6.以双目标最小化问题为例说明帕累托前沿的关键特征。

图7.为将微通道结构参数(hch、wch、θ、φ)映射到热工水力性能指标(Tmax、ΔP)而开发的人工神经网络模型的体系结构。

图8.网络训练期间训练集和验证集的MSE降低。

图9. ANN模型的回归诊断图:(a)Tmax;(b)ΔP

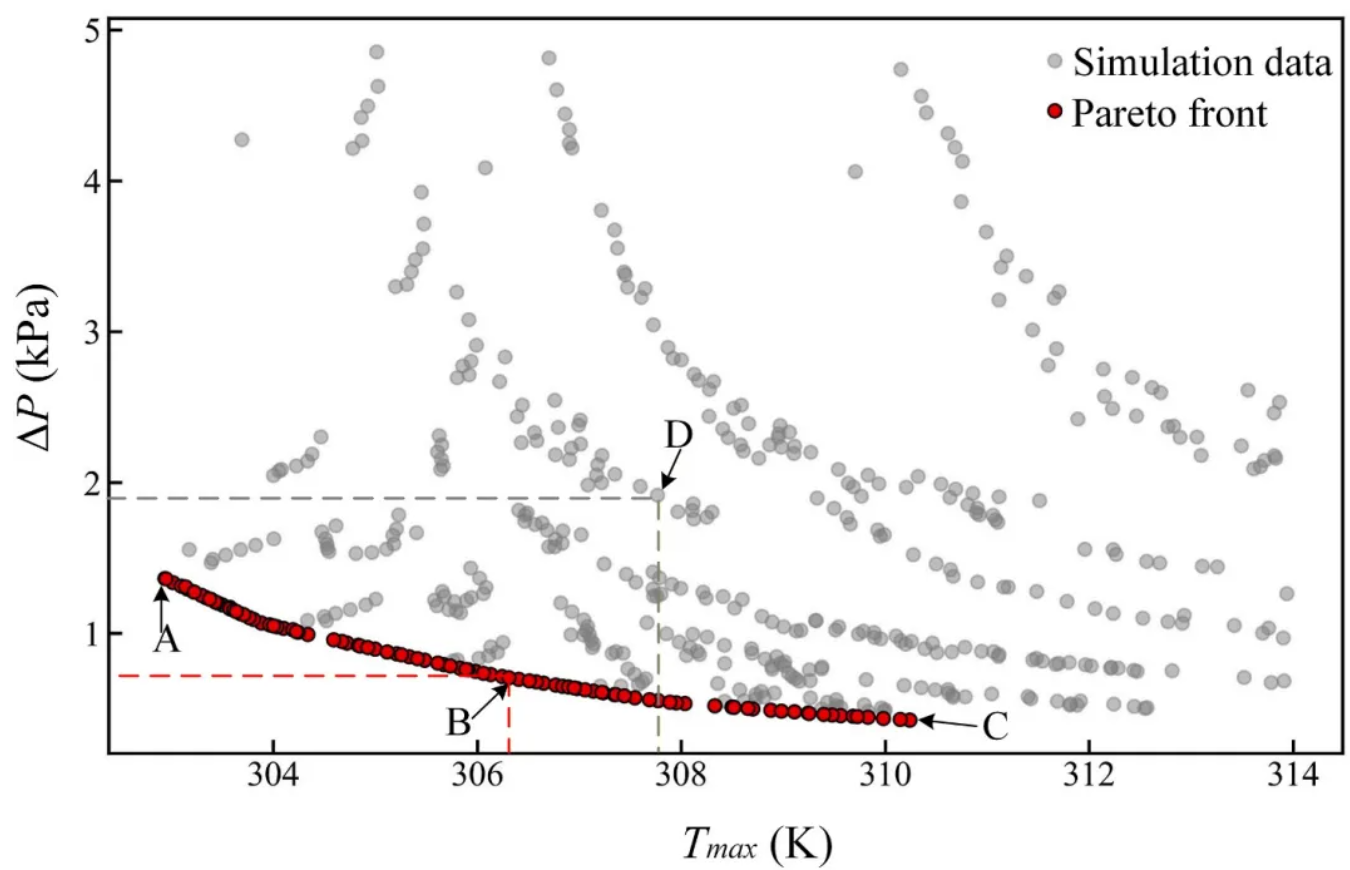
图10. Tmax-ΔP目标空间中的帕累托前沿和模拟结果。

图11.用于制造(a)直微通道和(b)之字形微通道的水射流引导的激光蚀刻工艺的示意图。

图12.热工水力双目标优化得到的帕累托前沿。

图13.在θ和φ的四种不同组合下,Tmax对hch和wch的响应面:(a)θ = 5 °,φ = 25 °;(b)θ = 5 °,φ = 5 °;(c)θ = 25 °,φ = 5 °;(d)θ = 25 °,φ = 25 °。

图14.四种不同θ和φ组合下ΔP对hch和wch的响应面:(a)θ = 5 °,φ = 25 °;(b)θ = 5 °,φ = 5 °;(c)θ = 25 °,φ = 5 °;(d)θ = 25 °,φ = 25 °。

