下一代数据中心冷板,铜/铜钨/金刚石形针翅冷板的设计与制造

来源 | International Journal of Heat and Mass Transfer
链接 | https://doi.org/10.1016/j.ijheatmasstransfer.2025.128080
01
金刚石冷板如何破解数据中心散热难题?
随着高性能计算与人工智能需求的爆发,芯片热设计功率(TDP)与数据中心机架功率密度正以前所未有的速度攀升。2025 年 4 月,谷歌发布的 1MW 42U 机架更是打破了传统空冷乃至液冷数据中心基础设施的设计范式 —— 这一趋势使得数据中心热管理系统面临巨大压力,传统空冷方案已难以满足散热需求。事实上,散热不足将直接导致芯片性能下降、可靠性受损,甚至缩短处理器寿命。在此背景下,液冷方案凭借更优异的散热能力,以及通过降低泵送功率、减轻机房空调负载来减少整体能耗的优势,正成为行业转型的核心方向。
在液冷技术中,冷板冷却已应用数十年,因只需对现有服务器架构进行最小化调整,成为数据中心的主流选择。而冷板设计的核心挑战,始终是在最低压降或泵送功率下实现最高换热效率。当前多数冷板的换热效率受限于冷板与冷却液之间的对流过程,因此,针翅、凹槽、直翅等扩展表面结构的研发与优化成为研究热点:从 Lee 最早建立翅片散热器性能分析模型,到交错排列圆针翅、方针翅对比直翅的优势验证,再到锥型针翅微通道、贝塞尔曲线翼型针翅的创新设计,学界不断通过几何优化提升冷板热工水力性能。
值得注意的是,随着 “去盖直贴芯片”(de-lidded direct-to-die)冷却架构的兴起,传统热传导路径(芯片 - TIM1 - 集成散热器 - IHS-TIM2 - 冷板)被简化为芯片 - TIM2 - 冷板,虽能降低热阻,却带来了新的难题——冷板与硅芯片之间的热膨胀系数(CTE)不匹配。硅的 CTE 仅为 3 ppm/°C,而冷板常用的高导热材料(铜 16.6 ppm/°C、铝 22.5 ppm/°C)与硅的 CTE 差异显著,加之芯片尺寸持续增大以提升算力,这种不匹配会导致冷板与处理器翘曲不一致,进而引发接触不均、TIM 挤出、局部热点等问题。为缓解这些问题,不得不使用更厚的 TIM,反而抵消了 “去盖” 带来的热阻优势;更严重的是,CTE 不匹配还会加速 TIM 老化,缩短处理器寿命,限制 “去盖直贴” 方案的商业化应用。
为解决 CTE 匹配问题,学界尝试了氮化铝(CTE 4.5 ppm/°C)、碳化硅(CTE 4.7 ppm/°C)、铜 - 石墨复合材料(CTE 4.12-7.63 ppm/°C)等低 CTE 材料,但这些材料往往存在导热率低或制造成本高的缺陷。如何平衡 “高导热” 与 “低 CTE”,同时实现冷板几何结构的高效设计与可制造性,成为下一代数据中心冷板研发的关键瓶颈。
02
成果掠影

近日,美国伊利诺伊大学厄巴纳 - 香槟分校William P. King Nenad Miljkovic团队提出了以铜钨合金(CuW)为基材、金刚石形针翅为核心结构的冷板方案,为大尺寸、高功率芯片的散热难题提供了全新思路。本文通过 “几何优化 + 材料创新” 双路径,研发出超低热阻与低压降的冷板方案,核心成果体现在三方面:一是核心设计上,采用金刚石形针翅阵列(交错排列),相比传统直翅微通道,可通过周期性破坏并重启热边界层、局部加速流体流动,在相同压降条件下降低约 15% 热阻,同时选用铜钨合金(CuW,90% 钨 + 10% 铜),其热膨胀系数(CTE=6.5 ppm/°C)远低于纯铜(16.6 ppm/°C),更接近硅芯片(3 ppm/°C),能显著减少 “去盖直贴芯片” 架构下的热机械变形,避免 TIM 挤出、局部热点等问题,同时保持 174 W/(m・K) 的较高导热率,平衡散热性能与长期可靠性;二是性能突破上,针对 75mm×75mm 大尺寸热源(1kW 热负荷,热流密度 17.78 W/cm²),以水为工质的实验验证显示,纯铜版本(Design 2)在 9.0 kPa 进出口压降、3.9 LPM 流量下,芯片到冷却液(含 TIM)的热阻低至 6.9±0.5 K/kW,是目前同尺寸、高功率场景下已报道的最低热阻水平之一,铜钨版本(Design 2)相同工况下热阻为 9.0±0.7 K/W,虽略高于纯铜,但热膨胀匹配性大幅提升,且 junction 温度仅比纯铜设计高 2.0°C,比铜直翅设计低 0.6°C,兼顾可靠性与散热效率,对比传统直翅微通道(Design 4),金刚石形针翅在流量 > 1 LPM 时优势显著,2 LPM 以上可实现 9%-20% 热阻降低,且整体传热系数(U)随雷诺数增长更快,对流热阻下降更明显;三是方法论与普适价值上,提出 “流向截面模型(SSM)”,可在单一流速下快速评估 300 种候选几何,仿真效率比全板模型提升 40 倍,且筛选出的帕累托最优几何(如 Geometry C、D)在全板高保真仿真中仍保持最优性能,大幅缩短研发周期,验证了铜(Cu)、铜钨(CuW)、铝硅镁合金(AlSi10Mg)三种材料的适配性,明确 “材料导热率主导热阻下限,几何优化主导对流增强” 的规律 —— 如铜基材在相同几何下热阻最低,而铜钨的可靠性优势需通过几何优化(如减小针翅间距)进一步发挥,且铜钨冷板通过线切割(EDM)实现亚毫米级特征加工,铝硅镁版本可通过激光烧结增材制造快速原型,为不同成本、不同场景的应用提供落地路径,综上,该研究既突破了大尺寸高功率芯片的散热性能瓶颈,又解决了 “去盖直贴” 架构的可靠性难题,其设计思路与性能数据为下一代数据中心液冷系统提供了关键技术支撑,尤其为 1MW 级机架、AI 服务器等高密度场景的热管理方案提供了新方向。研究成果以“Ultra-low thermal resistance and pressure drop copper and copper-tungsten diamond-shaped pin fin cold plates for liquid cooling of electronics” 为题,发表于《International Journal of Heat and Mass Transfer》期刊。
03
图文导读

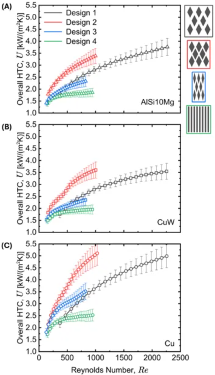
图 1:设计、开发与测试流程概览。(1)通过三维计算流体动力学(CFD)仿真,预测 300 种独特金刚石形针翅结构的热工水力性能;(2)筛选出热阻与压降之间达到最优权衡的结构;(3)通过全尺寸冷板的高保真三维 CFD 建模,预测所选结构的热工水力性能;(4)制造并测试部分高性能冷板设计,将实测结果与步骤 2、3 中的仿真结果进行对比。

图 2:金刚石形针翅冷板示意图。(A)冷板整体等轴测图;(B)侧视图,展示施加于冷板基底的均匀热流(Q)及冷却液的整体进口温度(Tin)与出口温度(Tout);(C)金刚石形针翅结构示意图,标注关键参数:高度(H)、间距(S)、长度(Y)、宽度(X),蓝色箭头表示水流方向;(D)(C)中金刚石形针翅结构的俯视图,标注关键参数。

图 3:流向截面模型(SSM)仿真域示意图。插图:金刚石形针翅的高倍放大图,标注关键几何参数。

图 4:金刚石形针翅示例,展示(A)结构形状、(B)网格划分域(蓝色代表流体域,灰色代表固体域)、(C)CFD 求解得到的固体域温度分布、(D)流体速度等值线。为便于可视化,截面模型已沿侧面镜像,插图为网格的高倍放大图。

图 5:300 种金刚石形针翅结构在 3 LPM 水流速下的预测热工水力性能。标注的最优数据点(红线及数据点)代表在热阻与压降之间达到最优权衡的结构。选取 A-E 五种结构进行深入研究,具体结构在插图中展示。

图 6:CuW 材质 A-E 五种结构(见表 3 及图 5)的预测温度分布(上)与速度等值线(下)。仿真结果分别对应:(A)结构 A、(B)结构 B、(C)结构 C、(D)结构 D、(E)结构 E。

图 7:热阻(Rth,图 7A)与压降(ΔP,图 7B)的响应面等高线图,展示金刚石形针翅宽度(X)、长度(Y)、间距(S)的变化对二者的影响(高度 H 固定为 4 mm)。

图 8:所选全尺寸帕累托最优金刚石形针翅冷板结构在不同流速下的预测热工水力性能。结果展示热阻随(A)水的体积流量(V)、(B)对应压降(ΔP)的变化关系。插图:虚线框内窄压降区间下热阻随压降的变化关系。(A)中的图例同样适用于(B)。

图 9:针翅阵列延伸研究。(A)金刚石形针翅阵列在冷却通道下游边缘、加热区域外延伸不同长度的示意图;(B)在 3 LPM 流速下,X=2 mm、Y=4 mm、S=1 mm、H=4 mm 结构的冷板中垂面沿流向长度(总长度 125 mm)的加热表面温度变化,对比不同针翅延伸长度的结果;(C)不同针翅延伸长度下冷板在不同流速(0.5-3.5 LPM)下的压降变化。

图 10:所制备冷板的实物照片:(A)样品 5(CuW 材质,X=2 mm、Y=4 mm、S=0.5 mm、H=4 mm)、(B)样品 9(Cu 材质,X=1 mm、Y=4 mm、S=0.5 mm、H=4 mm)、(C)样品 4(AlSi10Mg 材质,X=2 mm、Y=4 mm、S=0.5 mm、H=4 mm)、(D)样品 8(CuW 材质,X=1 mm、Y=4 mm、S=0.5 mm、H=4 mm)、(E)样品 12(Cu 材质,X=0.5 mm、S=0.5 mm、H=4 mm)、(F)样品 10(AlSi10Mg 材质,X=0.5 mm、S=0.5 mm、H=4 mm)。插图为针翅前缘区域沿流向的高倍放大图。

图 11:(A)实验流路示意图、(B)量热棒组件示意图(即(A)中的测试段)。示意图未按比例绘制。

图 12:热阻随(A)水流速、(B)实测压降的变化关系。对比四种设计(设计 1:X=2 mm、Y=4 mm、S=1 mm、H=4 mm;设计 2:X=2 mm、Y=4 mm、S=0.5 mm、H=4 mm;设计 3:X=1 mm、Y=4 mm、S=0.5 mm、H=4 mm;设计 4:翅片宽度 = 0.5 mm、翅片间距 = 0.5 mm、H=4 mm)在 AlSi10Mg(左列)、CuW(中列)、Cu(右列)三种材质下的性能。图中标注了实测热阻与压降的不确定度误差棒。

图 13:Cu 材质三种金刚石形针翅结构(设计 1、设计 2、设计 3)的预测结果(红线)与实验结果(黑线)对比。每个子图分别展示热阻随流速、热阻随压降、压降随流速的变化关系。(A)设计 1、(B)设计 2、(C)设计 3,右侧示意图分别对应各设计的结构形状。(A)中的图例同样适用于(B)和(C)。

图 14:四种设计在 AlSi10Mg(A)、CuW(B)、Cu(C)三种材质下的总传热系数(U)随雷诺数(Re)的变化关系(设计 1:X=2 mm、Y=4 mm、S=1 mm、H=4 mm;设计 2:X=2 mm、Y=4 mm、S=0.5 mm、H=4 mm;设计 3:X=1 mm、Y=4 mm、S=0.5 mm、H=4 mm;设计 4:X=0.5 mm、S=0.5 mm、H=4 mm)。所有设计的测试水流速范围为 0.5-4 LPM,图中不确定度误差棒与温度测量及热流量(Q)计算相关。(A)中的图例同样适用于(B)和(C)。雷诺数通过冷板水力直径(按 Dh=4Vf/Aw 计算)作为特征长度确定。

